Home
JAQForum Ver 24.01
Log In or Join  
Active Topics
Local Time 23:05 27 Apr 2026 Privacy Policy
Jump to

Notice. New forum software under development. It's going to miss a few functions and look a bit ugly for a while, but I'm working on it full time now as the old forum was too unstable. Couple days, all good. If you notice any issues, please contact me.

Forum Index : Microcontroller and PC projects : Micromite MkII beta testers needed

     Page 6 of 8    
Author Message
G8JCF

Guru

Joined: 15/05/2014
Location: United Kingdom
Posts: 676
Posted: 09:00pm 07 Nov 2014
Copy link to clipboard 
Print this post

Hi Jeff

The wiring is as follows


NEW 28 pin 170 uMite 28 pin '170
1 (MCLR) 7
4 (PGD) 5
5 (PGC) 6


Console on 28 pin uMite goes to your PC.

"uMite" refers to the chip running existing MMBasic 4.6 B16, "NEW" refers to your PIC32MX170F256B which is to be programmed.

OK ?

Peter


The only Konstant is Change
 
G8JCF

Guru

Joined: 15/05/2014
Location: United Kingdom
Posts: 676
Posted: 09:02pm 07 Nov 2014
Copy link to clipboard 
Print this post

Hi Keith

Thanks for the report Excellent news.

You must be using a "real" RS232 serial port on your PC rather than a USB<-->TTL Serial converter ?

PeterEdited by G8JCF 2014-11-09
The only Konstant is Change
 
Keith W.
Senior Member

Joined: 09/10/2011
Location: Australia
Posts: 118
Posted: 12:17am 08 Nov 2014
Copy link to clipboard 
Print this post

Hi Peter,

Yes I am using a true RS232 port, if I loop the PC port I can Rx / Tx 230400 baud using TerraTerm, therefore not the PC. Motherboard purchased purposely with RS232 port. Likely next update RS232 no longer available?

As you are thinking of a goal of 60 seconds I will post this, more on my old theme. The communication rate has now become more important. If you are still transferring the code as numbers please read my argument below. Unfortunately to gain any advantage will require some changes. But perhaps overall simpler?

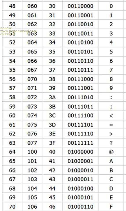
The baud rate is not the only factor with communication speed. Reducing the number of characters transferred improves speed, and also requires less processing time for characters. The application code to be programmed is in a PC file as printable hex ASCII coded characters, each representing a 4 bit nibble. More efficient data packing than number strings. By using hex characters, or my variation described below, messages may be fixed length with little message formatting required, again improving the transfer and processing efficiency.
OK, we can transmit these hex ASCII characters directly from the file, but they come with a receive processing overhead. Explained by looking at the partial ASCII character coding chart below:-








The characters assigned to Hex values are “0” to “9” and then “A” to “F” (or “a” to “f”). Transferred data bits may almost be obtained by removing / masking-off the 4 most significant bits of the ASCII code. Unfortunately past character “9”, jumping to “A” the least nibble bit pattern does not progress correctly. A correction is performed to the data nibble by testing that: - If the character has either of bits 01100000 set, then add 9 to the code and mask to retain the least 4 bits. An MMBasic function also can perform this but that is adding processing.

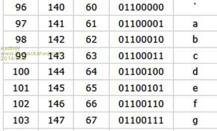
By substituting the displayable ASCII sequential characters from “0” to “?” correction is not required upon reception. Only (perhaps?) masking to obtain the relevant least 4 bits. Conversion in the PC to the new characters for transmission may be simply performed by “And” character with $40, if the result is now not zero add 9 ($09) to the character, then “And” the result with $0F and “Or” with $30 to obtain our new character. Slightly complicated as the original Hex character may be upper or lower case. This processing is required only in the PC, which runs faster than the Micromite. The Micromite no longer uses “Input” or “Val” to convert numeral character strings into MMBasic binary format.

In the application received binary data is shifted though ICSP to the chip being programmed. The received characters could be placed sequentially into a 64 bit integer. Thereby storing up to 8 required 4 bit nibbles placed alternately with 4 redundant bits. By using single bit shifts the least 4 bits may progress through ICSP and then jumping to the next least sig nibble by shifting by 4 bits. Alternatively the data may be converted into 32 bits of a 64 bit integer, or other methods.

Keith W.
 
JohnS
Guru

Joined: 18/11/2011
Location: United Kingdom
Posts: 4304
Posted: 12:38am 08 Nov 2014
Copy link to clipboard 
Print this post

Do you really want to go faster? How many chips are you programming?

My RPi code runs much faster and anything with plenty of bandwidth should, too. That largely rules out using a serial port.

John
 
Keith W.
Senior Member

Joined: 09/10/2011
Location: Australia
Posts: 118
Posted: 01:16am 08 Nov 2014
Copy link to clipboard 
Print this post

Johns,

Why stop when improvements are still coming? The brief seemed to be to use a Micromite if any hardware. And think of the exciting journey that we have been on and what has been learnt and gained. Learning how to program PIC32 from the beginning using MMBasic. What a great demonstration of the Micromite’s ability. Perhaps CFunctions would not have been so urgently argued for or quickly demonstrated without the interest in this application?

Keith W.
 
JohnS
Guru

Joined: 18/11/2011
Location: United Kingdom
Posts: 4304
Posted: 01:25am 08 Nov 2014
Copy link to clipboard 
Print this post

It's not going to go much faster if serial port is used.

BTW, anyone know that max baud rate Windows can generally set a COM port to? (I'm not much of a Windows user.) Also, can a umite CPU cope with it (even if MMBasic can't)?

I expect I'd have tried my own code as a CFunction if the release had been publicly available.

JohnEdited by JohnS 2014-11-09
 
MicroBlocks

Guru

Joined: 12/05/2012
Location: Thailand
Posts: 2209
Posted: 01:41am 08 Nov 2014
Copy link to clipboard 
Print this post

Would it not be useful when you copy the flash contents of a micromite to another chip directly. No need for serial communication at all except when you need to use a newer version.
Microblocks. Build with logic.
 
G8JCF

Guru

Joined: 15/05/2014
Location: United Kingdom
Posts: 676
Posted: 03:13am 08 Nov 2014
Copy link to clipboard 
Print this post

Hi JohnS

According to the uMite manual, the console port and COM1 are limited to 230400 bps at CPU 40MHz. I run at 230400 bps without any flow control of any sort. As I said previously, at 230400 bps, 192KBytes is programmed and verified in 1 min 13 secs, ie 73 secs, I performed the programming run at least 8 times, and it was always reliably 73 secs +- 1 sec.

Hi Keith

There may be some mileage to be gained from tighter encoding of the 32 bit words being sent to the uMIte. Right now each 32 bit word is sent as 8 ascii characters with &H prepended, and a "," appended, so 11 ascii characters/32 bit word, which at 230400 is 10 * (1/230400) * 11 = 0.000477431 sec/word or approx 500uS. I will try removing the "&H" and prepend it instead at the uMite end - although a line of MMBasic seems to take around 60~100uS so I'm not sure that would gain me much if any time. Now as for encoding the words more efficiently; assume I have to send 0x3c0901fd, ie 00111100 00001001 00000001 11111101, then right now the PC sends 10 chars (in Hex) 26 48 33 43 30 39 30 31 46 44, so let's drop the &H, then the PC sends 33 43 30 39 30 31 46 44.

I've read your post a good few times, and I still can't figure out what you mean - sorry - so could you please take the hex word above and show me how to encode it using your scheme ? But it still seems to me that 8 bytes will be sent from the PC to uMite for each 32 bit word, I must be missing something.

Hi TZ

MMProg32RPC will program ANY.hex file into a PIC32MX device. If all I wanted to do was clone a PIC32 into another PIC32, it would have been much simpler indeed. Also, another approach could have been to specify that the .HEX file to be flashed should be on an SD card, and then read in the .HEX file directly into the uMite and flashed it into the target PIC32. But, the goal was to keep it as simple as possible.

Thanks

Peter
Edited by G8JCF 2014-11-09
The only Konstant is Change
 
Keith W.
Senior Member

Joined: 09/10/2011
Location: Australia
Posts: 118
Posted: 12:52pm 08 Nov 2014
Copy link to clipboard 
Print this post

Ah Peter,

As you are now transferring hex characters and not decimal number strings you have passed 98% of my story. I understand about beginning the hex string with &H to prepare for VAL to do its job.
My transcoding suggestion may gain little if you are currently able to convert a complete 32 bits from hex to binary easily / quickly, I did not think that it would handle so large a value. Well done large integers. But Val may cause MMBasic to think a bit?

My suggestion of using different characters was an attempt to remove the need for any conversion as the character least nibble could be used immediately.

Your hex data - 33 43 30 39 30 31 46 44
Is the character string ----- 3 C 0 9 0 1 F D
My proposal is to make it -- 3 < 0 9 0 1 ? =

Instead of ----- 0 1 2 3 4 5 6 7 8 9 A B C D E F for transmitting hex
I suggest use - 0 1 2 3 4 5 6 7 8 9 : ; < = > ?

Look at my ASCII table from earlier post.
Now to obtain the correct binary data from the least nibble of the character VAL is not required.
To explain further the hex character 44 or C is used to represent the binary 1100, but its least nubble is actually 0011, whereas the least nibble for character < is the correct 1100.
I was hoping that thereby the least nibble of each character could be used in turn without conversion.

Keith W.
 
G8JCF

Guru

Joined: 15/05/2014
Location: United Kingdom
Posts: 676
Posted: 09:57pm 08 Nov 2014
Copy link to clipboard 
Print this post

Hi Keith

Now I understand, I was looking at what you were suggesting through the prism of a way of somehow transferring fewer bytes rather than as a way of speeding up the conversion to binary, which probably explains why I couldn't make sense of what you were saying. Indeed, to optimise the Hex2Bin conversion, it may be that your encoding scheme might result in a faster conversion time compared to VAL. I'll write a CFunction and do a comparison of execution times.

I've been looking into this business of transferring binary instead of AsciiHex which has the potential to more than halve the data transmission time, ie 11 chars/32bit word down to 4 bytes/word, (plus an overall checksum for data integrity) and it's looking quite feasible. At the receiving end this approach would result in a contiguous 128 byte run of bytes which I could then chop up with a CFunction.

So, currently a row of data 32 x 32 words takes

(10/230400)*11*32=15.278 mS to send from PC to uMite

with binary encoding, a row of data could take

(10/230400)*4*32 + (10/230400)=5.598958 mS to send from PC to uMite

which, if I can make it work reliably, represents a very significant improvement.

Anyway, it's Remembrance Sunday here, so time to remember those who gave so much for us.

Peter

The only Konstant is Change
 
G8JCF

Guru

Joined: 15/05/2014
Location: United Kingdom
Posts: 676
Posted: 07:05am 10 Nov 2014
Copy link to clipboard 
Print this post

Hi John

  Quote  
Do you really want to go faster? How many chips are you programming?

My RPi code runs much faster and anything with plenty of bandwidth should, too. That largely rules out using a serial port.


I've got it down to 47 secs for 192KBytes (using binary data transfer) but that's with 30cm of cable from uMite to target, and when I shorten the pulse times, things stop working. I think I may have to put the uMite really close up to the target device and then try shortening pulses.

At 230400 bps, I should be able to transfer 23040 bytes/sec meaning that I should be able program 192 KBytes in about 8.6 seconds theoretically, ie I think the bottleneck is now the programming s/w and the cable lengths rather than the data transfer limitations.

It's quite interesting seeing just how far this can be pushed now that we have CFunctions in MMBasic

PeterEdited by G8JCF 2014-11-11
The only Konstant is Change
 
plasma
Guru

Joined: 08/04/2012
Location: Germany
Posts: 437
Posted: 12:15pm 11 Nov 2014
Copy link to clipboard 
Print this post

hi,
for all who like to test cfunction without mmedit i wrote this

insert Clipboard to Teraterm

open Tera Term
place the Cursor on the insert Position (in Edit Mode)
select the cfunction you will insert to Tera Term in Cfungen
press Make Cfunctions

call my programm and dont move the mouse or type anything until the sound

one beep - ok
two beep - clipboard is empty

i test this with xp and vista , its virusfree (Avira)
have fun

its not needed to change the settings .Edited by plasma 2014-11-12
 
Frank N. Furter
Guru

Joined: 28/05/2012
Location: Germany
Posts: 1083
Posted: 12:00am 12 Nov 2014
Copy link to clipboard 
Print this post

Hi Plasma,

your link seems to content a virus:





Frank
 
MicroBlocks

Guru

Joined: 12/05/2012
Location: Thailand
Posts: 2209
Posted: 12:07am 12 Nov 2014
Copy link to clipboard 
Print this post

I can confirm that.
Passwords stealer detected with windows 8.1 defender.
(PWS:Win32/Lineage.gen!C.dam)

Microblocks. Build with logic.
 
plasma
Guru

Joined: 08/04/2012
Location: Germany
Posts: 437
Posted: 06:58am 12 Nov 2014
Copy link to clipboard 
Print this post

oh no

2 from 55 Antiviren Scanner say its Malware . ok this is because upx using

i testet on online scan results

i will upload a normal exe
 
plasma
Guru

Joined: 08/04/2012
Location: Germany
Posts: 437
Posted: 07:05am 12 Nov 2014
Copy link to clipboard 
Print this post

online scan results

now without upx

29 downloads and nobody say it work or its buggy ?Edited by plasma 2014-11-13
 
G8JCF

Guru

Joined: 15/05/2014
Location: United Kingdom
Posts: 676
Posted: 10:54am 12 Nov 2014
Copy link to clipboard 
Print this post

Hi Keith, Bo, Jeff and others

Here is the latest version of MMProg32RPCII for testing. This version requires MMBasic 4.6 Beta 20 installed on the uMite. This version will flash 192 KBytes in about 1 min 13 secs at 230,400 bps console speed - Option Baudrate 230400<crlf>

Peter

2014-11-12_205123_MMProg32RPC_4.6B20.zip Edited by G8JCF 2014-11-13
The only Konstant is Change
 
Keith W.
Senior Member

Joined: 09/10/2011
Location: Australia
Posts: 118
Posted: 05:00pm 12 Nov 2014
Copy link to clipboard 
Print this post

Peter,

You have likely wrung out what is possible.

I tried initially at 38,400 baud then at 57,600 using RS232 port. I then plugged into a USB adapter and tried at 115,200 and 230,400. Results below: -

38,400 Baud ---- 2:12
57,600 Baud ---- 1:32
115,200 Baud --- 1:13
230,400 Baud --- 1:13

Note; - The same time at 115,200 and 230,400. Tried both twice to be sure, still 1:13.

From 115,200 to 230,400 does the data transmission rate from the PC actually rise? Regardless of the Baud rate. That the time is exactly the same is interesting. I think that you have not achieved faster despite much trying? It makes it seem that the comms becomes 100% efficient and processing time utterly dominates. The PC is multitasking and may not service the port at a faster rate? Comms appears to top out abruptly at about 80 kBaud.

Peter, what pulse time have you settled on?

Interestingly (for my system) I used a USB/RS232 adapter plugged into the MAX232 chip on my Maximite card and it worked OK up to 230,400 Baud. It seems that my PC’s RS232 port does not drive hard enough above 57,600? The USB/232 adapter contains an FT232RL and an Intersil HIN213 chip to give a RS232 output. I found this USB/232 adapter before I could find just a FT232R, which is hiding somewhere.

Keith W.
 
boss

Senior Member

Joined: 19/08/2011
Location: Canada
Posts: 268
Posted: 05:43pm 12 Nov 2014
Copy link to clipboard 
Print this post

@Peter

awesome result. I have the similar results like Keith W on my Dell I7 PWS with RS232, on my I7 laptop with USB only time doubled. Thanks Peter.

Bo
 
Keith W.
Senior Member

Joined: 09/10/2011
Location: Australia
Posts: 118
Posted: 09:23pm 12 Nov 2014
Copy link to clipboard 
Print this post

Hi,

Thought of something to try but too late for an Edit.

Tried the two lower Baud rates via USB from PC v.s. direct RS232 connection.
Times are different.

38,400 Baud --- 2:12 RS232,-- 2:25 USB
57,600 Baud --- 1:32 RS232,-- 2:01 USB

Does this also hint that we are not achieving the true expected rate from the PC?
With more overhead for USB? Probably USB2?
Also slightly faster when "Verbose" not selected.

Graphing the results is interesting, although need more Baud rates.



Keith W.
Edited by Keith W. 2014-11-14
 
     Page 6 of 8    
Print this page
The Back Shed's forum code is written, and hosted, in Australia.
© JAQ Software 2026